Texas Instruments TLVx170 Micro-Power General Purpose Op Amps

Texas Instruments TLVx170 Micro-Power General Purpose Operational Amplifiers are electromagnetic interference (EMI)-hardened 36V, single-supply, low-noise operational amplifiers. These devices feature a THD+N of 0.0002% at 1kHz with the ability to operate on supplies ranging from 2.7V (±1.35V) to 36V (±18V). These features, along with low noise and very high power-supply rejection ratio (PSRR), make them suitable for microvolt-level signal amplification. The TLVx170 family of devices offers good offset, drift, and bandwidth with a low quiescent current. Unlike most op amps specified at only one supply voltage, the TLVx170 family of op amps is specified from 2.7V to 36V with the ability to swing input signals beyond the supply rails without phase reversal. The Texas Instruments TLVx170 family is also unity-gain stable with a 200pF capacitive load with a 1.2MHz bandwidth and a 0.4V/μs slew rate in current-to-voltage converters.

Features

  • 2.7V to 36V, ±1.35V to ±18V supply range
  • 22nV/√Hz low noise 
  • EMI-hardened with RFI-filtered inputs
  • The input range includes the negative supply
  • 200pF capacitive load unity-gain stable
  • Rail-to-rail output
  • 1.2MHz gain bandwidth 
  • 125µA per amplifier low quiescent current 
  • 110dB high common-mode rejection 
  • 10pA (typical) low bias current 

Applications

  • Currency counters
  • AC-DC converters
  • Tracking amplifiers in power modules
  • Server power supplies
  • Inverters
  • Test equipment
  • Battery-powered instruments
  • Transducer amplifiers
  • Line drivers or line receivers

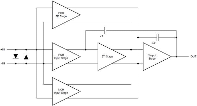
Functional Block Diagram

Block Diagram - Texas Instruments TLVx170 Micro-Power General Purpose Op Amps
Publicado: 2017-02-10 | Actualizado: 2022-03-28