Texas Instruments TLVx171/TLVx171-Q1 36V General Purpose Op Amps

Texas Instruments TLVx171/TLVx171-Q1 36V General Purpose Operational Amplifiers provide a low-power option for cost-conscious industrial and personal electronics systems. These devices are ideal where an EMI-hardened, low-noise, single-supply operational amplifier that operates on supplies ranging from 2.7V (±1.35V) to 36V (±18V) is required. The single-channel TLV171/TLV171-Q1, dual-channel TLV2171, and quad-channel TLV4171 provide low offset, drift, quiescent current balanced with high bandwidth for the power. These devices are available in micro packages for space-constrained systems and feature identical specifications for maximum design flexibility. Unlike most op amps, which are specified at only one supply voltage, the TLVx171/TLVx171-Q1 family is specified from 2.7V to 36V. The Texas Instruments TLVx171-Q1 devices are AEC-Q100 qualified for automotive applications.

Features

  • Supply range (2.7V to 36V, ±1.35V to ±18V)
  • 16nV/√Hz low noise 
  • ±1µV/°C (typical) low offset drift 
  • EMI-hardened with RFI-filtered inputs
  • The input range includes the negative supply
  • Unity-gain stable (200pF capacitive load)
  • Rail-to-rail output
  • 3MHz gain bandwidth 
  • Low quiescent current (525µA per amplifier)
  • 105dB (typical) high common-mode rejection 
  • 10pA low bias current 

Applications

  • Transducers
  • Currency counters
  • AC-DC converters
  • Power modules
  • Inverters
  • Test equipment
  • Battery-powered instruments
  • TFT-LCD drive circuits
  • Active filters

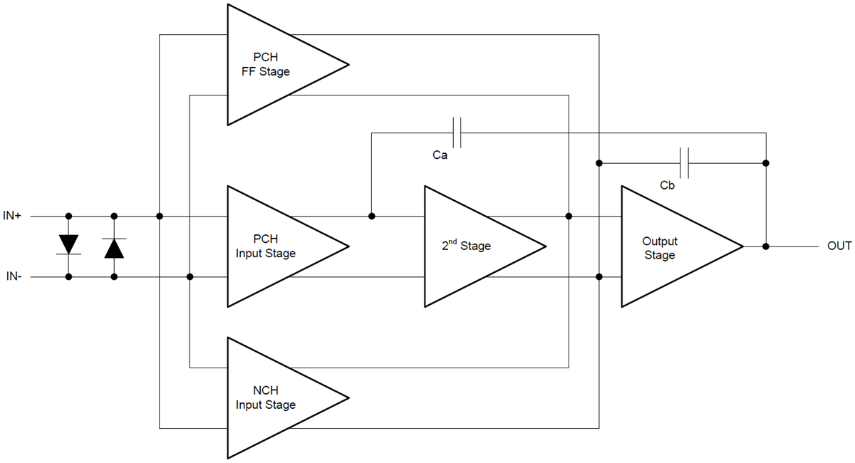
Functional Block Diagram

Block Diagram - Texas Instruments TLVx171/TLVx171-Q1 36V General Purpose Op Amps
Publicado: 2017-04-26 | Actualizado: 2022-04-26